Questão
Q397721
Prova: Concurso Empresa Brasileira de InfraEstrutura Aeroportuária (INFRAERO) - Analista Superior IV Área Engenheiro Civil/Manutenção Predial - Fundação Carlos Chagas (FCC) do ano 2011
•
Empresa Brasileira de InfraEstrutura Aeroportuária (INFRAERO)
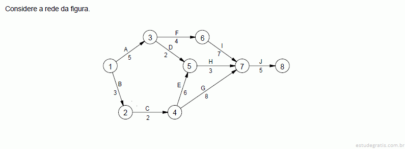
A rede da figura representa uma obra de construção civil....

A rede da figura representa uma obra de construção civil. Os círculos representam os eventos e as letras representam as atividades, cuja duração, em dias, é indicada ao seu lado inferior. Os serviços que definem o caminho crítico são, respectivamente,
Comentários
Faça login para participar da discussão.
Cadastre-se Gratuitamente
Carregando comentários...