Questão
Q397091
Prova: Concurso Instituto Brasileiro de Geografia e Estatística (IBGE) (2ª edição) - Engenheiro Área Civil - Fundação CESGRANRIO (CESGRANRIO) do ano 2010
•
Instituto Brasileiro de Geografia e Estatística (IBGE) (2ª edição)
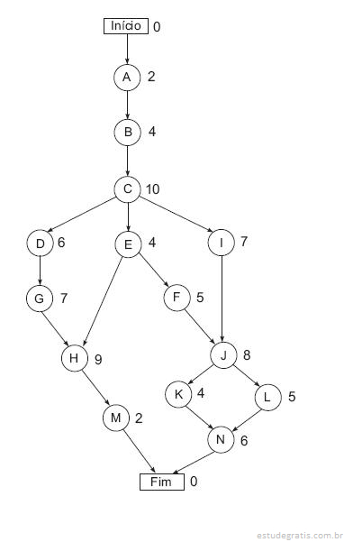
Considere as informações e a figura a seguir para respond...
Considere as informações e a figura a seguir para responder às questões de nº 45 a 48.
A figura a seguir apresenta a sequência de atividades a serem realizadas em um projeto, sendo a duração das atividades definida em dias.

O tempo inicial mais cedo da atividade H é
Comentários
Faça login para participar da discussão.
Cadastre-se Gratuitamente
Carregando comentários...