Questão
Q412853
Prova: Concurso Tribunal de Justiça - SE (TJSE/SE) - Analista Judiciário Área Apoio Especializado - Especialidade: Engenharia Elétrica - Centro de Seleção e de Promoção de Eventos UnB (CESPE) do ano 2014
•
Tribunal de Justiça - SE (TJSE/SE)
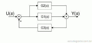
No diagrama de blocos mostrado na figura acima, em que G1...

No diagrama de blocos mostrado na figura acima, em que G1(s) = s+1, G2(s) = s2, G3(s) = s, a entrada U(s) é nula no instante inicial. Julgue os próximos itens, a respeito da função de transferência G(s) = Y(s)/U(s).
O sistema representado pela função G(s) é estável.Comentários
Faça login para participar da discussão.
Cadastre-se Gratuitamente
Carregando comentários...