Questão
Q400935
Prova: Concurso Instituto Brasileiro de Geografia e Estatística (IBGE) (2ª edição) - Engenheiro Área Civil - Fundação CESGRANRIO (CESGRANRIO) do ano 2010
•
Instituto Brasileiro de Geografia e Estatística (IBGE) (2ª edição)
A figura a seguir apresenta a aplicação de uma carga dist...
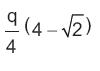
A figura a seguir apresenta a aplicação de uma carga distribuída circular de raio r e intensidade q sobre um terreno.

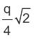
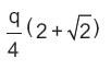
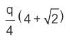
Utilizando a fórmula de Love, o acréscimo de tensão vertical no ponto A, por causa da aplicação da carga q para z = r, vale
Comentários
Faça login para participar da discussão.
Cadastre-se Gratuitamente
Carregando comentários...