Questão
Q394735
Prova: Concurso Defensoria Pública do Estado de São Paulo - SP (DPE/SP) - Agente de Defensoria Área Engenheiro Civil - Fundação Carlos Chagas (FCC) do ano 2010
•
Defensoria Pública do Estado de São Paulo - SP (DPE/SP)
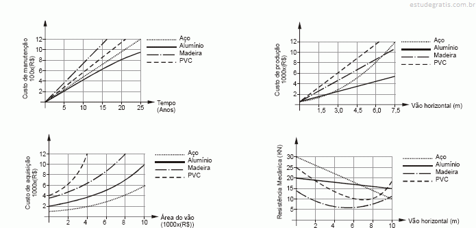
Atenção: Para responder às questões de números 64 e 65 ut...
Atenção: Para responder às questões de números 64 e 65 utilize os gráficos abaixo.

A(s) esquadria(s) com menor custo produtivo, que vencem a maior área de vão possível, com o menor custo futuro de manutenção e maior resistência é(são), APENAS
Comentários
Faça login para participar da discussão.
Cadastre-se Gratuitamente
Carregando comentários...