Questão
Q394733
Prova: Concurso Defensoria Pública do Estado de São Paulo - SP (DPE/SP) - Agente de Defensoria Área Engenheiro Civil - Fundação Carlos Chagas (FCC) do ano 2010
•
Defensoria Pública do Estado de São Paulo - SP (DPE/SP)
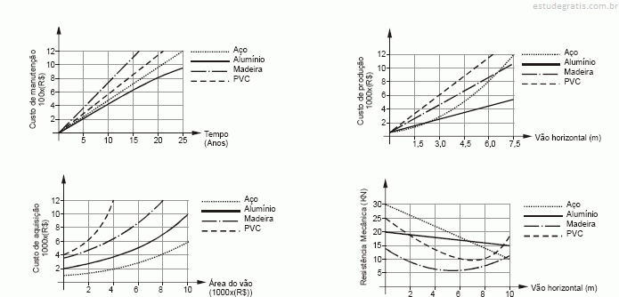
Atenção: Para responder às questões de números 64 e 65 ut...
Atenção: Para responder às questões de números 64 e 65 utilize os gráficos abaixo.

O(s) tipo(s) de esquadria mais resistente, para um vão de 7 m, com área de 8 m2, e custo mínimo de manutenção ao longo de 15 anos é(são), APENAS
Comentários
Faça login para participar da discussão.
Cadastre-se Gratuitamente
Carregando comentários...