Questão
Q347275
Prova: Concurso Secretaria de Estado de Educação - AM (SEDUC/AM) - Professor Área Matemática (20 horas) - Centro de Seleção e de Promoção de Eventos UnB (CESPE) do ano 2008
•
Secretaria de Estado de Educação - AM (SEDUC/AM)
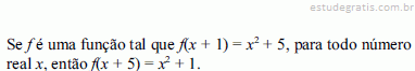
A respeito de funções, julgue os itens a seguir....
A respeito de funções, julgue os itens a seguir.

Comentários
Faça login para participar da discussão.
Cadastre-se Gratuitamente
Carregando comentários...