Questão
Q347099
Prova: Concurso Prefeitura de Vila Velha - ES - Educador Social - Centro de Seleção e de Promoção de Eventos UnB (CESPE) do ano 2008
•
Prefeitura de Vila Velha - ES
Tendo como referência o texto acima, considere um sistema...

Tendo como referência o texto acima, considere um sistema de coordenadas cartesianas
xOy em que: no eixo Ox representam-se os anos, sendo que 2000 coincide com x = 0, o ano 2001, com x = 1, e assim sucessivamente; no eixo Oy representam-se as posições das cidades citadas no texto com relação ao ranking mencionado. A partir dessas informações, julgue os itens seguintes.
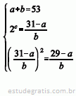
Considere-se que os pontos referentes às posições de Vila Velha estejam sobre o gráfico de uma função da forma y = a + b × 2 cx . Nesse caso, os valores de a, b e c poderão ser encontrados resolvendo-se o sistema de equações a seguir.

Comentários
Faça login para participar da discussão.
Cadastre-se Gratuitamente
Carregando comentários...