Questão
Q346834
Prova: Concurso Petrobras (3ª edição) - Prova Comum a Todos os Cargos de Nível Médio PETROBRÁS (Prova 1 - Geral Comum a Todos os Cargos de Nível Médio Petrobrás) - Centro de Seleção e de Promoção de Eventos UnB (CESPE) do ano 2008
•
Petrobras (3ª edição)
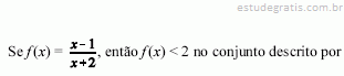
A....

Comentários
Faça login para participar da discussão.
Cadastre-se Gratuitamente
Carregando comentários...