Questão
Q434330
Prova: Concurso Petrobras (3ª edição) - Engenheiro / Engenharia de Equipamentos Área Mecânica - Centro de Seleção e de Promoção de Eventos UnB (CESPE) do ano 2008
•
Petrobras (3ª edição)
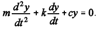
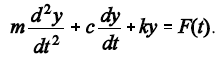
O sistema ao lado pode ser descrito pela equação...
O sistema ao lado pode ser descrito pela equação
Comentários
Faça login para participar da discussão.
Cadastre-se Gratuitamente
Carregando comentários...