Questão Q337593
2009 SUSTENTE Instituto Brasileiro de Desenvolvimento Sustentável Tribunal de Justiça   - PE (TJPE/PE)
Prova: Concurso Tribunal de Justiça   - PE (TJPE/PE) - Economista - SUSTENTE Instituto Brasileiro de Desenvolvimento Sustentável do ano 2009 Tribunal de Justiça   - PE (TJPE/PE)

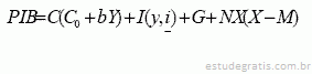
A mensuração da renda nacional é dada por: Avalie as...

A mensuração da renda nacional é dada por:

Avalie as proposições abaixo e marque a única alternativa CORRETA.

Comentários

Faça login para participar da discussão.

Cadastre-se Gratuitamente
Carregando comentários...