Questão
Q127303
Prova: Concurso Petrobras - Analista de Sistemas Júnior Área Engenharia de Software - Fundação CESGRANRIO (CESGRANRIO) do ano 2011
•
Petrobras
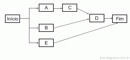
Analisando o diagrama de precedência mostrado na figura a...

Analisando o diagrama de precedência mostrado na figura acima, constata-se que uma característica das atividades do projeto nele representadas é que
Comentários
Faça login para participar da discussão.
Cadastre-se Gratuitamente
Carregando comentários...