Questão
Q110174
Prova: Concurso Prefeitura de Boa Vista - RR - Analista Municipal Área Analista de Sistemas - Centro de Seleção e de Promoção de Eventos UnB (CESPE) do ano 2004
•
Prefeitura de Boa Vista - RR
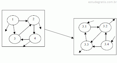
Considerando o fragmento de DFB mostrado na figura acima,...

Considerando o fragmento de DFB mostrado na figura acima, julgue o item a seguir.
Esse fragmento de DFD está equilibrado.
Comentários
Faça login para participar da discussão.
Cadastre-se Gratuitamente
Carregando comentários...